本文作者:芃洋雪
导言
从1977年起,世界卫生组织WHO就列出了基本药物,以优先满足流行病和基础病的需求,做到临床有效、安全,同时兼顾费用和效果。基本药物目录The Essential Medicines List (EML),是所有国家选择药物的重要参考资料,具有极高的风险/收益比,是医疗健康事业的重要保障。意大利皮埃蒙特东方大学(Università del Piemonte Orientale)的Tracey Pirali等在药物化学顶级期刊J. Med. Chem.上发表综述,分析了基本药物目录中化学药物的化学组分和小分子化合物的主要特征:起源、立体化学、类药性,这篇评述既可以作为药物化学专业的教学工具,也可以启发新药研发。
Marta Serafini, Sarah Cargnin, Alberto Massarotti, Tracey Pirali,* Armando A. Genazzani
Essential Medicinal Chemistry of Essential Medicines
J. Med. Chem. 2020, 63, 10170-10187. DOI: 10.1021/acs.jmedchem.0c00415
正文
如果药物也有江湖,那么被纳入基本药物目录,可视为进入了龙虎榜,承认江湖地位。每种疾病都有不同的治疗方案,对应的用药也不尽相同,各个药物的结构不同、作用机制不同、处方不同,对疾病的重要程度自然也不同。如果一个药物的临床数据足够稳健,并且兼顾价格,具有较高的成本/效益,那么药物监管机构会优先将其列为基本药物。除此之外,有时也从全球健康需求出发,如出现重大传染病,价格将不是主要考察因素。因此1975年世界卫生大会(World Health Assembly,WHA)要求世界卫生组织WHO各成员国推荐品种,以甄选出基本药物,要求质高价廉,后来又兼顾发展中国家需求增加品种。时至今日,WHO依据疾病的流行病学和公共卫生需求,根据药物的临床安全有效性和效果/费用,制定了满足最基本医疗卫生需求的基本药物(Essential medicines, EMs)。
基本药物,图片来自网络
1977年WHO出版了第一份基本药物目录EML(Essential Medicines List)共205条(186个药物),现在已更新了21次,2019年的目录已达到459条。入围时,价格便宜已经不是首要因素,更多考虑临床安全有效,而且同类药只选择一个,例如众多的质子泵抑制剂中只有奥美拉唑omeprazole。通过筛选,可以避免药品名单过长,并且减少仿制药的重复研发。
我国也有自己的国家基本药物目录,现行版本为2018年版,以适应基本医疗卫生需求,而且剂型适宜,价格合理,能够保障供应,公众可公平获得药物,是各级医疗卫生机构配备使用药品的依据。
任何个人、组织或药企都可以申请某个药物或某类药物进入基本药物名录,申请资料需证明它的必需性,系统介绍所有资料和数据分析,再由专家委员会决定,如本文作者Armando A. Genazzani是第22界委员。基本药物目录是动态的,2019年共收到了65份申请,最终推荐加入28个新药,同时有 9个药物被剔除目录。
本文以最近的第21版名录为例,系统评价一下这些基本药物。
1 基本药物中有机化学药物的数量
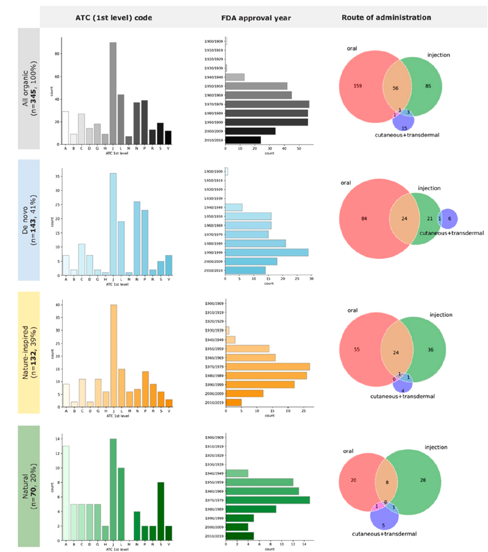
第21版基本药物目录共有459个药物,除去诊断试剂、医疗器械、复方药物、无机药物、血液制品、生物药及前药等,共有345个有机化合物药物,如图1所示。
图1 基本药物目录中的筛选
其中116种有机药物以盐的形式成药,20种不同的盐根中,按数量前三名依次为氯化物(n = 45),钠盐(n = 29),硫酸盐(n = 14)。很多有机药物存在不同的盐,如氨氯地平氨氯地平马来酸盐\甲磺酸\苯磺酸;或不同的季铵盐,如溴化新斯的明/甲基硫酸新斯的明是,这类药物按照同一个来统计,具有相同的母体结构。
按照药物的解剖学、治疗学及化学分类法ATC编码,对这些药物进行评价,根据ATC的编码规则,第1个字母代表解剖学主族,前四名分别为J全身用抗感染药(n = 92, 27%),L抗肿瘤和免疫调节剂(n = 44, 13%),P抗寄生虫药、杀虫剂和驱虫剂(n = 39, 11%),N神经系统用药(n = 37, 11%)。
目录中,药物的上市时间也有明显特点,其中美国FDA批准药物上市的中位数是1981年,2000年后只有58个药物纳入目录。但近年来,抗丙肝药如达卡他韦、索非布韦等以及黑色素瘤癌症免疫疗法的纳武单抗,迅速登上名单。
2 基本药物的分类:
很多药物直接来源于天然产物,或者受其启发进行衍生,据此分为三组:
(1)天然产物有70个化合物。
(2) 受自然界启发的化合物有132个化合物,如对天然产物进行修饰。
(3)全新设计的化合物有143个,与天然产物的无明显关系,如图2所示。
图2 基本药物的分类
在1981-2014年间,全新设计药物占FDA批准的49%,EML中占42%。天然产物启发为(44% vs 38%),天然产物为(7% vs 20%)。
按给药途径分类,口服的有217个药物,注射有145个药物,经皮吸收的有20个药物。
3 药物和靶标的关系
对药物-靶标drug-target (DT)进行归纳,大圈表示生物学靶标,小圈代表单个药物,线代表相互作用了,颜色代表ATC编码的首字母。上图代表所有被FDA批准的药物,下图代表基本药物名录,在较低的密度下,可以看到药物和生物学靶标的密切联系。
图3 药物-靶标关系
Cluster 1为可作为代表,苯二氮卓类与GABA-A受体是类经典药物,已有十几种苯二氮卓类上市药物,治疗焦虑、癫痫、术前镇静、戒酒综合征、睡眠障碍等。在基本药物名录中,只纳入了三款苯二氮卓类药物,劳拉西泮、地西泮和咪达唑仑,但在GABA受体中,还有巴比妥类药物、氟烷、异氟烷、丙泊酚等用于麻醉。






No comments yet.