本文作者:Sunny华
引言
杀虫剂的使用被认为是二十世纪农业生产力上升的重要因素,然而几乎所有杀虫剂都具有潜在的生态系统危害,因此高效、低毒、对环境污染小或无污染的杀虫剂是现代农业所期望的。20世纪80年代,以益达胺为代表的新一代类尼古丁杀虫剂对多种害虫都表现出较好的防治效果,更凭借其对昆虫具有广谱、高效、害虫不易产生抗性,对人、哺乳动物、植物则是低毒、低残留、安全等特点,成为杀虫剂开发中较为理想的品种之一。
图1 现代农业机械化喷洒杀虫剂
什么是吡虫啉?
吡虫啉是新一代类尼古丁(Neonicotinoids)超高效杀虫剂,纯品呈无色无味的晶体,主要破坏昆虫的神经系统功能。所谓类尼古丁,其实是一类结构上和尼古丁具有相似性的神经活性杀虫剂的总称,这类物质干扰昆虫神经系统的刺激传导进而引起神经通路的阻塞,最终这种阻塞造成重要的神经传导物质乙酰胆碱的积累,从而导致昆虫麻痹最终死亡。
图2 尼古丁和吡虫啉的化学结构
吡虫啉在1984年首先由日本特殊农药制造株式会社合成,80 年代后期由株式会社与德国拜尔公司合作共同开发。自1991年投放市场后,目前吡虫啉已在全球超过八十个国家的六十多种农作物上使用,对于刺吸式口器害虫,例如蚜虫和叶蝉及鞘翅目害虫有非常好的防治效果,另外还用于建筑防治白蚁和防治猫和狗等宠物身上的跳蚤等。
吡虫啉的合成
自从1991 年吡虫啉商品化进入市场并得到推广使用后,如何更经济高效地获得高质量的产品成为各农药生产制造商的首要任务。1985年,实验室最早通过6-氯烟酸甲酯为起始原料,酯基经NaBH4还原得到的苄醇被PCC选择性氧化为6-氯烟醛,随后与乙二胺进行还原胺化将侧链引入母核,最后在加热条件下与2-硝基胍(2-nitroguanidine)缩合即可得到吡虫啉。值得一提的是,如果将乙二胺替换成2-氨基乙醇,最后与CS2、硫酸二甲酯和氰氨基钠(Na2NCN)作用即可合成另一种同样具有杀虫活性的名为噻虫啉的衍生物。
图2 吡虫啉和噻虫啉的实验室合成路线
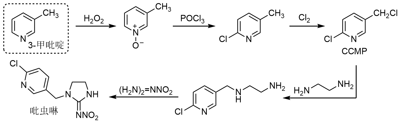
显然,实验室合成吡虫啉的方法因为原料和试剂的成本问题无法直接用于大批量的工业化生产。随后,拜耳实验室的研究人员综合考量设计了适用于工业生产的路线,即采用更廉价的3-甲吡啶为起始原料,首先利用双氧水将其氧化为吡啶氮氧化物,三氯氧膦作为氯化试剂在吡啶C2位引入卤素,随后再利用氯气对苄位进行氯甲基化后得到关键中间体2-氯-5-氯甲吡啶(2-chloro-5-chloromethylpyridine ,CCMP)后直接与乙二胺发生取代反应引入侧链,最后同样与2-硝基胍脱水缩合得到目标产物。该路线具有原料和试剂廉价易得以及步骤成熟的特点很快成为工业获得吡虫啉的重要方法,再后来人们又针对性地对相关工艺进行优化,目前具有多种成熟的路线可以高效获得吡虫啉,进而满足人们源源不断的生产生活需要。
图3 吡虫啉的工业合成路线
安全疑虑
前文提到,吡虫啉的作用具有低毒、广谱、高效、有效期长和不易产生耐药性等特点,并且对非靶标生物安全。尽管如此,近年来关于吡虫啉安全性的争议一直没有停息,其中争议的焦点就是有学者认位吡虫啉药物会经由植物根部、叶面吸收后传送到花朵、花粉中,进而对蜜蜂等传粉昆虫也具有较强毒性,最终因传粉受到影响也会严重影响农作物收成。鉴于此,吡虫啉在部分国家和地区正逐步遭到禁用,例如我国台湾省2017年就将吡虫啉、可尼丁(clothianidin)和赛速安(thiamethoxam)三种杀虫剂暂时取消用于荔枝与龙眼,2018年6月欧盟也决议全面禁用益达胺等三种类尼古丁杀虫剂。
图4 其他代表性的类尼古丁杀虫剂
结束语
理想的杀虫剂应当具有高效、高选择性、低毒和低残留的特点,未来绿色环保是杀虫剂开发的主流方向。在可以预见的未来,随着天然产物分离技术、基因 (组)学等跨学科跨领域科研成果的广泛应用,中间体衍生化法、虚拟筛选、骨架跃迁等创新农药研究方法将会被越来越多地用于农药开发,相信那时高效低毒环境友好的杀虫剂品种将不断涌现并为现代农业助力。
参考资料
[1] 潘英明,陈文纳,莫羡忠,卢军. 吡虫啉的制备与用途[J]. 广西化工, 1997, 04, 33-36. [2] 刘漪, 石德清. 吡虫啉的研究与进展[J]. 高等函授学报(自然科学版), 2004, 01, 6-9. [3] Kagabu, Shinzo. “Discovery of imidacloprid and further developments from strategicmolecular designs.” J. Agric. Food Chem. 2011, 59, 2887–2896. DOI: 10.1021/jf101824y
[4] 张咏梅,李今越. 吡虫啉的应用及其安全性研究进展[J]. 医学动物防制, 2004, 12, 728-730. [5] 维基百科:https://en.wikipedia.org/wiki/Imidacloprid





No comments yet.