董广彬 (Guangbin Dong)、美国在职有机化学家,美国芝加哥大学教授(2016-)。(主页)
经历
- 1999 – 2003 北京大学 学士 (导师 杨震 陈家华)
- 2004 – 2009 斯坦福大学化学系 博士(导师Barry M. Trost)
- 2009 – 2011 加州理工学院 Camille and Henry Dreyfus博士研究员fellowship(指导教授Robert H. Grubbs)
- 2011– 2015 美国德州大学 奥斯汀大学 助教
- 2016 – 美国芝加哥大学 教授
获奖经历
- 2014 Amgen Young Investigator Award
- 2014 Biomatik Distinguished Junior Faculty Award
- 2014 DuPont’s 2014 Class of Young Professors
- 2014 Sloan Research Fellowship
- 2013 Searle Scholar
- 2013-2018 National Science Foundation CAREER Award
- 2012 Thieme Synlett/Synthesis Journal Award
- 2012 Chemistry and Molecularly Targeted Therapeutic Development Award, Center for Targeted Therapy (CTT) & Texas Institute for Drug & Diagnostic Development (TI-3D)
- 2012 Ralph E. Powe Junior Faculty Enhancement Awards
- 2012-2017 Herman Frasch Foundation Award in Chemical Research
- 2011 Rom Rhome International Travel Award
- 2011 CPRIT Award for Recruitment First-Time Tenure-Track Faculty Member
- 2011 Reaxys Travel Award
- 2010 IUPAC Prizes for Young Chemists, IUPAC
- 2010 Reaxys PhD Prize, Runners-up, Elsevier
- 2009 Camille and Henry Dreyfus Environmental Chemistry Fellow
- 2009 Beckman Postdoctoral Fellowship, Finalist
- 2009 American Chemical Society (ACS) Travel Awards for Graduate Students, Division of Organic Chemistry
- 2008-2009 Chinese Government Award for Outstanding Self-Financed Students Abroad
- 2006-2009 Larry Yung Stanford Graduate Fellowship in Science and Engineering, Stanford University
- 2001-2002 三星奖学金 北京大学
- 2000-2001 Youlong奖学金 北京大学
- 1999-2000 杜邦奖学金 北京大学
研究概要
董广彬教授致力于有机合成、催化、金属有机和药物化学领域,他将这些研究融合起来并与细胞生物学,动物药理学领域合作,确定从分子水平去了解小分子药剂在癌症治疗中的机理。
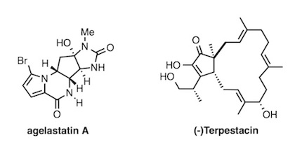
他博士期间在斯坦福大学,师从Barry M. Trost,从事新型不对称反应然后应用这些反应在生物活性分子的合成中,他所合成的天然产物都在抗癌活性研究中有很大的潜力。比如:agelastatin A, terpestacin.
另外他还设计并合成了新型bryostatin类似物; 与Genetech的合作研究表明该试剂的对几类癌细胞的抗癌活性都达到纳米摩尔级别,这一工作在2008年被发表于Nature杂志。[5]
之后他拿到Camille and Henry Dreyfus 环境化学 Fellowship 在加州理工Robert H. Grubbs研究组从事博士后研究,研究催化反马氏氢化烯烃的反应,并发现了第一个可重现性的反马氏氢化烯烃的双金属催化系统。[6]
他在德州大学奥斯汀分校独立工作后,除了继续他在抗癌药物合成方面的研究,还致力于开发新型金属催化反应在碳氢键、碳碳键活化方面的应用,并用于小分子化合物群的建立,在这一方面几个代表性的工作如下:
1)C-H键活化体系
研究实例:羰基的β位C-H键的导向性活化; [7]
几个月前,他在Nat. Chem.中发表的醇的β位Csp3-H的导向性活化(-OTs化)及衍生化的研究工作。[8]
(该工作被Chem-Station日文版和中文版都重点介绍过)
2)C-C键活化方面,董教授尤其在环丁烯酮及其衍生物的C-C键活化做了深入的研究。
研究例:2014年前后发表了环丁烯酮的C-C键活化及与烯烃的偶联反应;[9]
苯并环丁烯酮C-C键的活化及其在Cycloinumakiol全合成中的应用这一工作。[10]
评论&其他
1. 接触过董广彬教授的人都会感受到他的人格魅力,创造性的科学思维,高效的工作和时间管理能力,而且为人平易近人。
2. 董教授最喜欢的座右铭之一是 “Hire the best people…..then get out of their way” (出自Arnold O. Beckman,生前加州理工教授,美国著名化学家,pH酸度计发明者)。
3. 作为一个指导者他的的初衷就是给所有的研究生和博后专业有素的训练,为他们日后的独立科研生涯打下坚实的基础。他致力于创建一个健康良好的学习环境,使学生和博后都能够很好的相互分享他们的经验和知识。而这些关键之处是要为他们创造一个相对自由的空间去开拓提高自己,他们应该被允许犯错误并学会自我修正或者找寻解决的办法,也应该被鼓励在更多语言交流中互相学习,在这自由的环境同时,董教授会在他们的旁边,及时给出建议。董教授一直相信在这样的相互合作的研究环境中,学生和博后都会受益匪浅,一定会一点一点成为有独立科研能力的研究者。(翻译自董教授主页的话)
4. 按董教授的学历年份推测,他应该也是80后的化学家,并且他和另一位化学空间曾介绍过的80后化学家李昂教授在本科阶段都师从杨震教授,他们同是北大毕业,都是天然产物合成出身,在美国研究时的导师也都是业界的元老级大牛,这里想说的其实不是要把二人作比较,而是大家没有发现一些杰出的80后新生代化学家已经像冉冉的新星一样进入我们关注的视线了吗?
参考文献
- 1. Trost, B. M.; Dong, G. B.JACS,2006,128, 6054. DOI:10.1021/ja061105q
- 2. Trost, B. M.; Dong, G. B.Chem-Eur. J.,2009,15, 6910. DOI:10.1002/chem.200900794
- 3. Trost, B. M.; Dong, G. B.; Vance, J. A.JACS,2007,129, 4540. DOI:10.1021/ja070571s
- 4. Trost, B. M.; Dong, G. B.; Vance, J. A.Chem- Eur. J.,2010,16, 6265. DOI:10.1002/chem.200903356
- 5. Trost, B. M.; Dong, G. B.Nature,2008,456, 485. DOI:10.1038/nature07543
- 6. Dong, G. B.; Teo, P.; Wickens, Z. K.; Grubbs, R. H.Science,2011, 333, 1609. DOI:10.1126/science.1208685
- 7. Mo, F. Y.; Dong, G. B.Science,2014,345, 68. DOI:10.1126/science.1254465
- 8. Xu, Y.; Yan, G. B.; Ren, Z.; Dong, G. B.Nat. Chem.2015,7, 829. DOI:10.1038/nchem.2326
- 9. Kom H. M.; Dong, G. B.Nat. Chem.2014,6, 739. DOI:10.1038/nchem.1989
- 10. Xu, T.; Dong, G. B.Angew. Chem. Int. Ed.2014,53, 10733.
本文版权属于Chem-Station化学空间, 欢迎点击按钮分享,未经许可,谢绝转载!



No comments yet.