本文翻译自日文版化学空间: 布施 新一郎 Shinichiro Fuse 原作者:cosine
翻译:Alberto Caeiro,校对:Hu Hao
布施 新一郎(Shinichiro Fuse,1977年12月27日-),日本有机化学家,现为名古屋大学教授。图片:个人介绍。
经历
- 2000 学士,东京工业大学 工学部化学工学科
- 2002 修士,东京工业大学 理工学研究科应用化学专攻
- 2005 博士,东京工业大学 理工学研究科
- 2005-2006 主任研究员,Chem Genesis Inc.
- 2006-2008 博士后,Harvard University
- 2008-2015 Assistant Professor,东京工业大学大学院 理工学研究科 (中村 浩之 教授)
- 2015-2019 Associate Professor,东京工业大学 化学生命科学研究所 (中村 浩之 教授)
- 2019-现在 Professor,名古屋大学大学院创药研究科
获奖经历
- 2004 第86回有机合成讲坛会墙报赏
- 2005 第40回天然物化学讲坛会奖励赏
- 2008 有机合成化学协会日产化学工业研究企画赏
- 2010 东京工业大学工系若手奖励赏
- 2015 日本化学会第95春季年会年轻科学家特别讲演者
- 2016 第35回有机合成化学奨励赏
工作介绍
Natural product synthesis & microflow synthesis
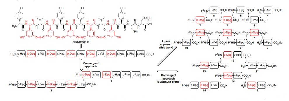
2014年,Fuse教授通过流动微反应装置(Microflow-reactor),实现了多肽的快速高效合成[1],该方法也被用于实现难于合成的天然产物非格霉素(feglymycin)的全合成[2]。
Microflow synthesis of peptides
Retrosynthetic analysis of feglymycin (1)
参考文献
- [1] Fuse S. Mifune Y. Takahashi T. Angew. Chem. Int. Ed. 2014, 53, 851. DOI: 10.1002/anie.201307987.
- [2] Fuse S. Mifune Y. Nakamura H. Tanaka H. Nat. Commun. 2016, 7, 13491. DOI: 10.1038/ncomms13491.
本文版权属于 Chem-Station化学空间, 欢迎点击按钮分享,未经许可,谢绝转载!


No comments yet.