本文作者:竹悠
C&EN, 2020, 98 (15), pp 27–31April 20, 2020 作者:Leigh Krietsch Boerner
2019年的一天,分析化学公司Valisure的分子生物学家兼CEO David Light面对着谱图上质荷比为m/z=74的峰陷入沉思,这正是N-二甲基亚硝胺NDMA(N-nitrosodimethylamine)的分子离子峰。此时,David Light正在开始核查公司所有批次药品中的致癌物,科研人员用气相色谱-质谱反复验证后才确认正是NDMA,一种广泛关注的潜在致癌物质,又名基因遗传毒性物质。NDMA,即N-二甲基亚硝胺属于亚硝胺类N-nitrosamine,化学结构为R2N–N=O,主要是由脱质子的胺结合了一个亚硝基形成,通常是仲胺或叔胺和亚硝基化试剂反应得到。
警告!药品中含有N–二甲基亚硝胺NDMA
Valisure的发现并不是个例,实际上在过去几年,无论是独立实验室、药企或监管部门在多种药物中发现了NDMA。2018年,诺华 Novartis首先发现其抗高血压药中的缬沙坦原料药中含有NDMA 。此后,至少6种药物含有NDMA及其类似物,被数以百万人服用。因为NDMA为潜在的致癌物,为安全考虑,监管结构责令产品召回。2018年7月召回缬沙坦,10月召回厄贝沙坦,11月召回氯沙坦,后两个含有N-亚硝基二乙胺NDEA (N-nitrosodiethylamine),这三个药物都为抗高血压药物,同属于血管紧张素Ⅱ受体阻滞剂。2019年9月,FDA警告雷尼替丁含有NDMA建议药品生产商召回所有剂型和批次的雷尼替丁。此后,抗糖尿病神药二甲双胍中也发现了NDMA,将涉及到数千万人。
虽然目前药物中含有的N-亚硝胺类化合物并没有达到很大的风险,也没有引发重大的安全事件,也许,这类物质已经存在药物中很长时间了,只是没有关注或发现它们,现在对它的关注是不是有点反应过度。现在世界范围内的患者和医生产生了极大的疑惑,还能不能用这些药物,不能用怎么办?同时药企要陷入了左右为难的处境,药品召回,即要听从监管机构的意见进行评估。监管部门责问药企,如何避免此类毒害杂质问题的再次发生。
事实上,我们的生活中不缺乏亚硝胺类物质。我们已经接触它们很多年了,如烟草、培根等腌制食品、啤酒和奶酪等发酵食物、洗发水等日化产品,以及在烹饪肉食时,防腐剂亚硝酸盐和胺或者氨基酸反应均会产生此类物质。NDMA为2A类致癌物,即可能会对人类致癌,现在只有来着动物的数据,但没有直接证据对人类产生同样的毒性。美国FDA和加拿大卫生部建议日摄取量为0.096μg。但也有部分实验室发现二甲双胍中的含量已经高达1.06μg,是推荐量的10倍。召回的缬沙坦更是超标了200倍,其它替丁类抗药物的NDMA含量参差不齐。
根据加拿大卫生部的统计,这些药物的平均NDMA含量并不会引起明显增加患癌的风险。一名患者服用的药物中含有NDMA或者每天都服用低于限度值的NDMA连续70年也不会增加患癌的几率。FDA估计如果患者服用了最高剂量的含NDMA的缬沙坦连续四年,可能会增加额外的患癌风险。欧洲药品管理局European Medicines Agency (EMA)也有相同的结论。
但即使如此,FDA仍决定召回含NDMA的药物,但这些召回在医生和患者之间引起了恐慌。因为这些药物名单中包括了重要的基础药物。如沙坦类抗高血压药物的厄贝沙坦irbesartan, 缬沙坦valsartan,氯沙坦 losartan列入了WHO的基本药物,2017年全球约有一千万人服用了氯沙坦,二百多万人服用厄贝沙坦,近两千万人服用了缬沙坦。如果医生重新换治疗高血压的药物,意味着更多的临床试验、更多的监测,更多的实验室检测,占用更多医疗资源。
药品中的NDMA是哪来的?
问题是药品中的NDMA是哪来的?这需要药物化学和分析化学专家的共同努力。对原料药而言,无外乎药物合成中的副反应,不稳定药物的降解,回收溶剂中引入,看起来虽然简单,这需要了解药物结构和合成路线,药品的包装和贮藏方式,但每种药物各不相同,想彻底弄清楚每个药品仍是非常艰巨的任务。形成N-亚硝胺需要亚硝基和二甲基胺这两部分化学结构,并且距离足够近才有可能发生。问题的难点是不能列出每个药物所有的合成路线来分析。
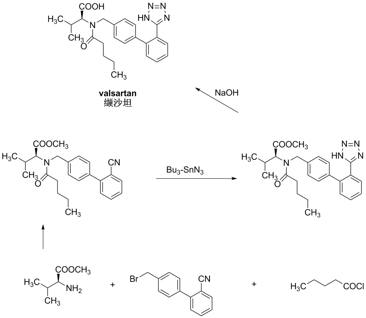
如阿斯利康AstraZeneca的缬沙坦,分子结构中既没有亚硝基也没有胺,问题出在合成路线上。诺华最初的合成工艺中,用三丁基叠氮形成四氮唑,二甲苯为溶剂,合成路线见scheme 1。但在2014年,浙江华海药业改进了合成路线,使用叠氮化钠,并将溶剂替换为DMF,收率更高,但DMF将降解生成二甲胺,并用亚硝酸钠淬灭过量的叠氮化钠,这样既有二甲胺又有亚硝基,顺理成章从而生成了NDMA。[1]从此,华海缬沙坦事件揭开了NDMA篇章的序幕,一个又一个重磅药物暴雷。
Scheme 1 诺华的缬沙坦合成路线.
Ranitidine雷尼替丁是个结构不稳定的药物,会降解产生NDMA,加热会加速降解,在贮藏过程中会产生NDMA。它的产生机理有很多推测,如和广泛存在的氯胺反应,Scheme 2所示。[2]当它重返市场时,需要控制运输及贮藏温度。
Scheme 2. 氯胺和雷尼替丁反应生成NDMA
废水也可能产生NDMA,而且废水的成分更复杂。如通过二甲基肼UDMH氧化降解产生NDMA,在空气中就可以进行。DMF降解为二甲胺,然后被氢氧化铵或次氯酸钠NaOCl氨化,再和其它亲核性的胺如NH2Cl反应,生成二甲基肼,再被氧化为NDMA,如scheme 3所示。[3]
Scheme 3. 废水中产生NDMA.
二甲双胍产生NDMA的机理还没有确定,它的结构中含有二甲胺,并且合成路线仅有一部反应,其中起始物料之一为二甲胺,因此如果有痕量的亚硝化试剂引入,就可能产生NDMA,并且亚硝化试剂的引入途径更多。二甲双胍氧化裂解液会产生NDMA。[4]
Dead line已划好,监管机构在行动!
药品监管机构已经意识到问题的严重性,因此责任药企召回上市产品,并彻查药品的NDMA含量。2019年9月,欧洲药监局给出的时间是3年内完成。2019年12月,加拿大卫生部要求2年内所有产品的NDMA含量在安全限度以内。美国FDA正在规划中。
2020年5月8日,我国国家药品监督管理局药品审评中心发布了《化学药物中亚硝胺类杂质研究技术指导原则 (试行)》,要求药企应充分评估药品中亚硝胺类杂质的风险 , 并将亚硝胺类杂质水平控制在安全限度以下。
其它参考文献
- [1] Maria Kristina Parra, Jan F. Josepha., NDMA impurity in valsartan and other pharmaceutical products:Analytical methods for the determination of N-nitrosamines. Journal of Pharmaceutical and Biomedical Analysis 164 (2019) 536–549 DOI: https://doi.org/10.1016/j.jpba.2018.11.010.
- [2] Julien Le Roux, Hervé Gallard, Jean-Philippe Croué, Sébastien Papot, Marie Deborde.
- NDMA Formation by Chloramination of Ranitidine: Kinetics and Mechanism Environ. Sci. Technol. 2012, 46, 11095-11103 .DOI: 10.1021/es3023094.
- [3] N-nitrosamines Org. Process Res. Dev DOI: 10.1021/acs.oprd.9b00535.
- [4] Ismail Badran, Abdallah D. Manasrah, Nashaat N. Nassar., A combined experimental and density functional theory study of metformin oxy-cracking for pharmaceutical wastewater treatment. RSC Advances. 2019, 9, 13403.DOI: https://doi.org/10.1039/C9RA01641D
本文版权属于 Chem-Station化学空间, 欢迎点击按钮分享,未经许可,谢绝转载!

