概要
Quéguiner 氮杂咔唑合成 (Quéguiner Azacarbazole Synthesis)是联芳胺类化合物与沸腾状态的氯化吡啶鎓盐(bp 210oC)在加热条件下进行环化反应,生成氮杂咔唑及咔啉类化合物的反应。该反应在1993年由法国国立应用科学学院(institut National des Sciences Appliquées, INSA)化学系的G. Quéguiner研究组首次报道。该反应目前已广泛应用于具有咔啉骨架的生物碱的构建。
基本文献
- [1] P. Rocca, F. Marsais, A. Godard, G. Quéguiner, Tetrahedron, 1993, 49, 49. doi: 10.1016/S0040-4020(01)80505-6.
- [2] P. Rocca, F. Marsais, A. Godard, G. Quéguiner, Tetrahedron, 1993, 49, 3325. doi: 10.1016/S0040-4020(01)90161-9.
- [3] E. Arzel, P. Rocca, F. Marsais, F. Marsais, A. Godard, G. Quéguiner , J. Heterocycl. Chem. 1997, 34, 1205. doi: 10.1002/jhet.5570340418.
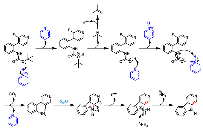
反应机理
反应实例
苯并-δ-咔啉的合成[1]
Lavendamycin 类似物的合成[2]
6-Hydroxyharman的合成[2]
具有抗菌活性的海绵色素Fascaplysin的合成[4]
实验步骤
将沸腾状态的氯化吡啶鎓盐(l25 eq, bp.210oC)加入到联芳胺(1eq.)中,将上述反应混合物加热回流15 min。反应结束后,将上述反应液趁热倒入冰与浓氨水的混合物中。充分搅拌,将产生的沉淀过滤,并加水充分洗涤,获得第一批咔啉产物。再将水相用乙酸乙酯进行萃取,将有机相用无水MgSO4进行干燥,减压除去溶剂后,用甲苯进行重结晶纯化,获得第二批目标产物。
实验技巧
参考文献
- [1] E. Arzel, P. Rocca, P. Grellier, M. Labaeïd, F. Frappier, F. Guéritte, C. Gaspard, F. Marsais, A. Godard, G. Quéguiner, J. Med. Chem., 2001, 44, 949. doi: 10.1021/jm0010419.
- [2] P. Rocca, F. Marsais, A. Godard, G. Quéguiner, Tetrahedron Lett., 1993, 34, 2937. doi: 10.1016/S0040-4039(00)60486-0.
- [3] P. Rocca, F. Marsais, A. Godard, G. Quéguiner, Tetrahedron Lett., 1994, 35, 2003. doi: 10.1016/S0040-4039(00)73033-4.
- [4] P. Rocca, F. Marsais, A. Godard, G. Quéguiner, Tetrahedron Lett., 1993, 34, 7917. doi: 10.1016/S0040-4039(00)61510-1.
本文版权属于 Chem-Station化学空间, 欢迎点击按钮分享,未经许可,谢绝转载!






No comments yet.