本文作者:孙苏赟
第五部分 Shi不对称环氧化和亲核环氧化
此前Chem-Station网站详细介绍过关于史一安不对称环氧化起源、发展及其在合成中的应用【史一安环氧化反应】。
- 亲核试剂的环氧化
H2O2是一个亲核试剂,事实上这个反应是一个亲核加成和烯醇氧化的过程:
H2O2的化学选择性和之前的两个亲电试剂是相反的,H2O2倾向于和电子密度低的双键进行反应。例如:
(1) 化学选择和立体选择的环氧化[1]:
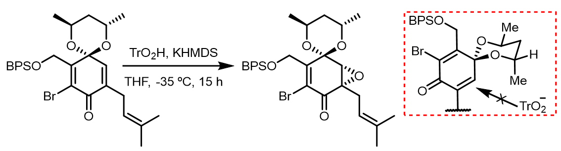
(2) 对苯醌衍生物的环氧化[2]:
(3) 孕烯醇酮衍生物的环氧化:
(4) 相同的[4]:
不对称亲核(共轭)环氧化
亲核共轭环氧化的面选择性主要是由反应中的手性配体实现的,一下是集中具有代表性的例子:
(1) 镧盐和BINOL配体(Shibasaki不对称环氧化)[5]
反应中形成的过氧配合物是实现不对称环氧化的关键:
(2) 手性吡咯配体[6]:
循环催化:
References
- [1] J. Am. Chem. Soc. 1993, 115, 9293-9294. Doi: 10.1021/ja00073a057
- [2] Org. Lett. 2001, 3, 1649-1652. Doi: 10.1021/ol0159367
- [3] J. Am. Chem. Soc. 1950, 72, 367-370. Doi: 10.1021/ja01157a099
- [4] J. Am. Chem. Soc. 1992, 114, 8333-8334. Doi: https://doi.org/10.1021/ja00047a079
- [5] J. Am. Chem. Soc. 2001, 123, 2725-2732. Doi; 10.1021/ja004201e
- [6] J. Am. Chem. Soc. 2005, 127, 6964-6965. Doi: 10.1021/ja051808s
本文版权属于 Chem-Station化学空间, 欢迎点击按钮分享,未经许可,谢绝转载!






No comments yet.