新的一年,Chemstation小编继续为学习有机化学的各位同行带来Fukuyama-Yokoshima研究组反应机理问题的详细解答的第八期。本期为新年特别加长版,小编为大家带来五道问题。
问题 1
基本文献
- [1] M. Penning, J. Christoffers,Eur. J. Org. Chem.2012, 1809. doi:10.1002/ejoc.201101645.
反应机理
参考文献
- [1] M. Rössle, J. Christoffers,Synlett2006, 106. doi:10.1055/s-2005-922759.
- [2] R. Pflantz, P. Tielmann, M. Rössle, C. Hoenke, J. Christoffers,Eur. J. Org. Chem.2007, 3227. doi:10.1002/ejoc.200700263.
- [3] J. Christoffers,Catal. Today2011,159, 96. doi:10.1016/j.cattod.2010.06.027.
- [4] M. Rössle, T. Werner, A. Baro, W. Frey, J. Christoffers,Angew. Chem. Int. Ed.2004,43, 6547. doi:10.1002/anie.200461406.
- [5] R. Pflantz, J. Sluiter, M. Krička, W. Saak, C. Hoenke, J. Christoffers,Eur. J. Org. Chem.2009, 5431. doi:10.1002/ejoc.200900825.
问题 2
基本文献
- [1] R. J. Sharpe, J. S. Johnson,J. Am. Chem. Soc.2015,137, 4968. doi:10.1021/jacs.5b02631.
反应机理
参考文献
[1] R. E. Ireland, R. H. Mueller, A. K. Willard, J. Am. Chem. Soc. 1976, 98, 2868. doi: 10.1021/ja00426a033.问题 3
基本文献
- [1] B. Gou, H. Yang, H. Sun, J. Chen, J. Wu, L. Zhou,Org. Lett.2019,21, 80. doi:10.1021/acs.orglett.8b03511.
- [2] J. Xu, Y. Liu, Y. Wang, Y. Li, X. Xu, Z. Jin,Org. Lett.2017,19,1562. doi:10.1021/acs.orglett.7b00363.
- [3] X. Liu, H. Park, J. Hu, Y. Hu, Q. Zhang, B. Wang, B. Sun, K. S. Yeung, F. Zhang, J. Yu,J. Am. Chem. Soc.2017,139,888. doi:10.1021/jacs.6b11188.
反应机理
参考文献
- [1] F. Zhang, K. Hong, T. Li, H. Park, J. Yu,Science2016,351, 252. doi:10.1126/science.aad7893.
- [2] K. Yang, Q. Li, Y. Liu, G. Li, H. Ge,J. Am. Chem. Soc.2016,138, 12775. doi:10.1021/jacs.6b08478.
- [3] D. Wang, S. Guo, G. Pan, X. Zhu, Y. Gao, Y. Wang,Org. Lett.2018,20, 1794. doi:10.1021/acs.orglett.8b00292.
- [4] G. Xia, J. Weng, L. Liu, P. Verma, Z. Li, J, Yu,Nature Chem.2019,11, 571. doi:10.1038/s41557-019-0245-6.
- [5] Q. Yao, S. Zhang, B. Zhan, B. Shi,Angew. Chem., Int. Ed.2017,56, 6617. doi:10.1002/anie.201701849.
- [6] H. Park, P. Verma, K. Hong, J. Yu,Nat. Chem.2018,10, 755. doi:10.1038/s41557-018-0048-1.
- [7] J. Xu, Y. Liu, J. Zhang, X. Xu, Z. Jin,Chem. Commun.2018,54, 689. doi:10.1039/C7CC09273C.
- [8] F. Ma, M. Lei, L. Hu,Org. Lett.2016,18, 2708. doi:10.1021/acs.orglett.6b01170.
- [9] Y. Liu, H. Ge,Nat. Chem.2016,9, 26. doi:10.1038/nchem.2606.
- [10] Y. Wu, Y. Chen, T. Liu, M. D. Eastgate, J. Yu,J. Am. Chem. Soc.2016,138, 14554. doi:10.1021/jacs.6b09653.
- [11] X. Chen, S. Ozturk, E. Sorensen,Org. Lett.2017,19, 6280. doi:10.1021/acs.orglett.7b02906.
- [12] X. Chen, S. Ozturk, E. Sorensen,Org. Lett.2017,19, 1140. doi:10.1021/acs.orglett.7b00161.
- [13] T. W. Lyons, M. S. Sanford,Chem. Rev.2010,110, 1147. doi:10.1021/cr900184e.
- [14] Y. Xu, M. C. Young, C. Wang, D. M. Magness, G. Dong,Angew. Chem., Int. Ed.2016,55, 9084. doi:10.1002/anie.201604268.
- [15] Y. Xu, G. Yan, Z. Ren, G. Dong,Nat. Chem.2015,7, 829. doi:10.1038/nchem.2326.
- [16] Z. Ren, G. Dong,Organometallics2016,35, 1057. doi:10.1021/acs.organomet.6b00185.
- [17] S. J.Thompson, D. Q. Thach, G. Dong,J. Am. Chem. Soc.2015,137, 11586. doi:10.1021/jacs.5b07384.
- [18] Z. Ren, J. E. Schulz, G. Dong,Org. Lett.2015,17, 2696. doi:10.1021/acs.orglett.5b01098.
- [19] J. A. Johnson, D. Sames,J. Am. Chem. Soc.2000,122, 6321. doi:10.1021/ja0003223.
- [20] B. D. Dangel, K. Godula, S.W. Youn, B. Sezen, D. Sames,J. Am. Chem. Soc.2002,124, 11856. doi:10.1021/ja027311p.
- [21] R. Zhu, L. Liu, J. Yu,J. Am. Chem. Soc.2017,139, 12394. doi:10.1021/jacs.7b06851.
- [22] D. Lapointe, K. Fagnou,Chem. Lett.2010,39, 1118. doi:10.1246/cl.2010.1118.
- [23] J. M.Weibel, A. Blanc, P. Pale,Chem. Rev.2008,108, 3149. doi:10.1021/cr078365q.
- [24] T. Honda, M. Ushiwata, H. Mizutani,Tetrahedron Lett.2006, 47, 6251. doi:10.1016/j.tetlet.2006.06.142.
- [25] P. Schultheiss-Reimann, H. Kunz,Angew. Chem., Int. Ed.1983, 22, 62. doi:10.1002/anie.198300622.
- [26] S. Jürs, B. Werschkun, J. Thiem,Eur. J. Org. Chem.2006, 4451. doi:10.1002/ejoc.200600455.
- [27] T. Fujita, I. Takahashi, M. Hayashi, J. Wang, K. Fuchibe, J. Ichikawa, Eur.J. Org. Chem.2017,2017, 262. doi:10.1002/ejoc.201601406.
问题 4
基本文献
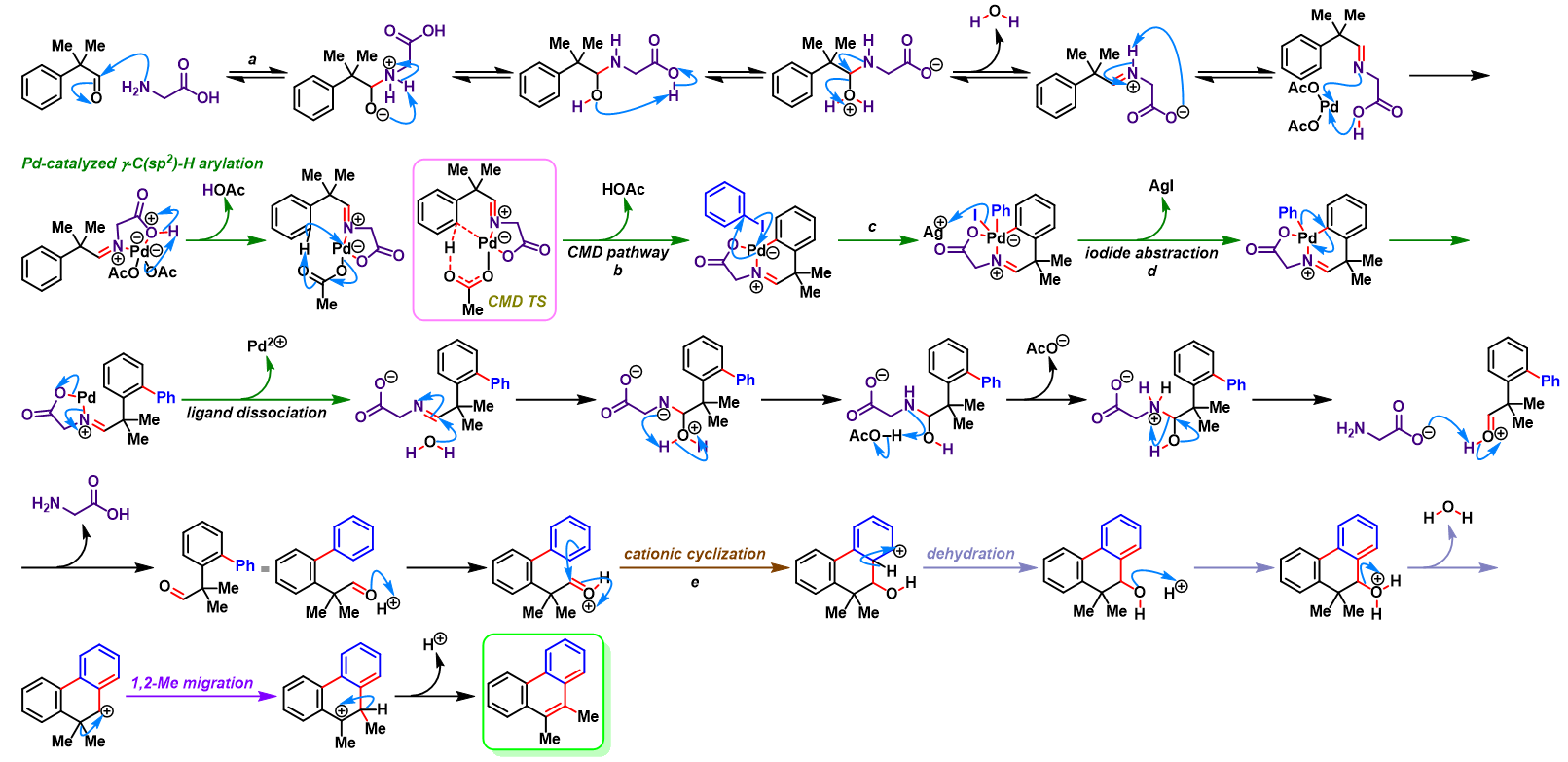
- [1] H. Shen, X. Xiao, T. R. Hoye,Org. Lett.2019,21, 1672. doi:10.1021/acs.orglett.9b00215.
反应机理
参考文献
- [1] K. Miyawaki, R. Suzuki, T. Kawano, I. Ueda,Tetrahedron Lett.1997,38, 3943. doi:10.1016/S0040-4039(97)00785-5.
- [2] A. Z. Bradley, R. P. Johnson,J. Am. Chem. Soc.1997,119,9917. doi:10.1021/ja972141f.
- [3] T. R. Hoye, B. Baire, D. Niu, P. H. Willoughby, B. P. Woods,Nature2012,490, 208. doi:10.1038/nature11518.
- [4] P. Wessig, G. Müller,Chem. Rev.2008,108, 2051. doi:10.1021/cr0783986.
- [5] C. Holden, M. F. Greaney,Angew. Chem. Int. Ed. Engl.2014,53, 5746. doi:10.1002/anie.201402405.
- [6] A. Ajaz, A. Z. Bradley, R. C. Burrell, W. H. H. Li, K. J. Daoust, L. B. Bovee, K. J. Di Rico, R. P. Johnson,J. Org. Chem.2011,76, 9320. doi:10.1021/jo201567d.
- [7] S. Y. Yun, K.Wang, N. K. Lee, P. Mamidipalli, D. Lee,J. Am. Chem. Soc.2013,135,4668. doi:10.1021/ja400477r.
- [8] R. Karmakar, P. Mamidipalli, S. Y. Yun, D. Lee,Org. Lett.2013,15, 1938. doi:10.1021/ol4005905.
- [9] K. Wang, S. Y. Yun, P. Mamidipalli, D. Lee,Chem. Sci.2013,4, 3205. doi:
10.1039/C3SC50992C. - [10] J. A. Tsui, B. T. Sterenberg,Organometallics2009,28, 4906. doi:10.1021/om900578d.
- [11] O. J. Diamond, T. B. Marder,Org. Chem. Front.2017,4, 891. doi:
10.1039/C7QO00071E. - [12] T. Wang, R. R. Naredla, S. K. Thompson, T. R Hoye,Nature,2016,532, 484. doi:10.1038/nature17429.
- [13] B. P. Woods, B. Baire, T. R. Hoye,Org. Lett.2014,16, 4578. doi:10.1021/ol502131r.
- [14] Y. Hu, Y. Hu, Q. Hu, J. Ma, S. Lv, B. Liu, S. Wang,Chem. Eur. J.2017,23, 4065. doi:10.1002/chem.201605785.
- [15] X. Xiao, T. R. Hoye,Nat. Chem.2018,10, 838. doi:10.1038/s41557-018-0075-y.
[16] S. K. Thompson, T. R. Hoye,J. Am. Chem. Soc.2019,141, 19575. doi:10.1021/jacs.9b11243. - [17] P. H. Y. Cheong, R. S. Paton, S. M. Bronner, G. Y. J. Im, N. K. Garg, K. N. Houk,J. Am. Chem. Soc.2010,132, 1267. doi:10.1021/ja9098643.
- [18] R. Karmakar, S. Y. Yun, K. P. Wang, D. Lee,Org. Lett.2014,16,6. doi:10.1021/ol403237z.
- [19] J. M. Medina, J. L.Mackey, N. K. Garg, K. N. Houk,J. Am. Chem. Soc.2014,136, 15798. doi:10.1021/ja5099935.
- [20] H. A. Bent,Chem. Rev.1961,61, 275. doi:10.1021/cr60211a005.
- [21] I. V. Alabugin, S. Bresch, G. dos Passos Gomes,J. Phy. Org. Chem.2015,28, 147.doi: 10.1002/poc.3382.
- [22] I. V. Alabugin, S. Bresch, M. Manoharan,J. Phys. Chem. A2014,118, 3663. doi:10.1021/jp502472u.
- [23] R. C. Haddon,Tetrahedron1988,44, 7611. doi:10.1016/S0040-4020(01)86253-0.
- [24] I. V. Alabugin, M. Manoharan, J. Comp.Chem.2007,28, 373. doi:10.1002/jcc.20524.
- [25] S. Gupta, Y. Lin, Y. Xia, D. J. Wink, D. Lee,Chem. Sci.2019,10, 2212. doi:10.1039/C8SC04277B.
- [26] X. Xiao, B. P. Woods, W. Xiu, T. R. Hoye,Angew. Chem. Int. Ed.2018,57, 9901. doi:10.1002/anie.201803872.
- [27] M. S. Singh, A. Nagaraju, N. Anand, S.Chowdhury,RSC Adv.2014,4, 55924. doi:10.1039/C4RA11444B.
- [28] W. Bai, J. G. David, Z. Feng, M. G. Weaver, K. Wu, T. R. R. Pettus,Acc. Chem. Res.2014,47, 12, 3655. doi:10.1021/ar500330x.
- [29] S. L. Crawley, R. L. Funk,Org. Lett.2003,5, 3169. doi:10.1021/ol034407v.
- [30] J. T. J. Spence, J. H. George,Org. Lett.2013,15, 3891. doi:10.1021/ol4017832.
- [31] D. Liao, H. Li, X. Lei,Org. Lett.2012,14, 18. doi:10.1021/ol202641y.
- [32] D. V. Osipov, V. A. Osyanin, Y. N. Klimochkin,Synlett2012,23, 917. doi:10.1055/s-0031-1290611.
- [33] A. L. Lawrence, R. M. Adlington, J. E. Baldwin, V. Lee, J. A. Kershaw, A. L. Thompson,Org. Lett.2010,12, 1676. doi:10.1021/ol100138k.
- [34] P. Batsomboon, W. Phakhodee, S. Ruchirawat, P. Ploypradith,J. Org. Chem.2009, 74, 4009. doi:10.1021/jo900504y.
- [35] A. K. Shaikh, A. J. A. Cobb, G. Varvounis,Org. Lett.2012,14,584. doi:10.1021/ol203196n.
- [36] M. Chen, L. Cao, Z. Ye, G. Jiang, Y. Zhou,Chem. Commun.2013,49, 1660. doi:10.1039/C3CC37800D.
- [37] J. P. Lumb, K. C. Choong, D. Trauner,J. Am. Chem. Soc.2008,130, 9230. doi:10.1021/ja803498r.
- [38] J. P. Lumb, D. Trauner,Org. Lett.2005,7,5865. doi:10.1021/ol052472u.
- [39] S. Arumugam, V. V. Popik,J. Org. Chem.2010,75, 7338. doi:10.1021/jo101613t.
- [40] A. Padwa, D. Dehm, T. Oine, G. A. Lee,J. Am. Chem. Soc.1975, 97, 1837. doi:10.1021/ja00840a040.
- [41] R. W. Van De Water, T. R. R. Pettus,Tetrahedron2002,58, 5367. doi:10.1016/S0040-4020(02)00496-9.
- [42] N. J. Willis, C. D. Bray,Chem. Eur. J.2012,18, 9160. doi:10.1002/chem.201200619.
- [43] B. J. Mcloughlin,Chem. Commun.1969, 540. doi:10.1039/C29690000540.
- [44] D. Mitchell, C. W. Doecke, L. A. Hay, T. M. Koenig, D. D. Wirth,Tetrahedron Lett.1995,36, 5335. doi:10.1016/0040-4039(95)01085-V.
- [45] R. W. Van De Water, D. J. Magdziak, J. N. Chau, T. R. R. Pettus,J. Am. Chem. Soc.2000,122, 6502. doi:10.1021/ja994209s.
- [46] T. B. Samarakoon, M. Y. Hur, R. D. Kurtz, P. R. Hanson,Org. Lett.2010,12, 2182. doi:10.1021/ol100495w.
- [47] J. C. Green, T. R. R. Pettus, J. Am. Chem. Soc.2011,133, 1603. doi:10.1021/ja109925g.
- [48] W. W. Sullivan, D. Ullman, H. Shechter,Tetrahedron Lett.1969,10, 457. doi:10.1016/S0040-4039(01)87718-2.
- [49] K. H. Jensen, J. D. Webb, M. S. Sigman,J. Am. Chem. Soc.2010,132, 17471. doi:10.1021/ja108106h.
- [50] K. M. Gligorich, Y. Iwai, S. A. Cummings, M. S. Sigman,Tetrahedron,2009,65, 5074. doi:10.1016/j.tet.2009.03.096.
- [51] S. A. Eastham, S. P. Ingham, M. R. Hallett, J. Herbert, P. Quayle, J. Raftery,Tetrahedron Lett.2006,47, 2299. doi:10.1016/j.tetlet.2006.02.024.
- [52] W. Schön, J. Messinger, W. Solodenko, A. Kirschning,Synthesis2012,44, 3822. doi:10.1055/s-0032-1316816.
问题 5
基本文献
[1] A. E. Lukach, A. N. Santiago, R. A. Rossi, J. Org. Chem. 1997, 62, 4260. doi: 10.1021/jo9620728.反应机理
参考文献
- [1] W. Fischer, C. A. Grog, Helv.Chim. Acta1978, 1588. doi:10.1002/hlca.19780610510.
本文版权属于Chem-Station化学空间,欢迎点击按钮分享,未经许可,谢绝转载!



No comments yet.