本文接上期 可以无限玩花的Aldol缩合 第二部分
- Evans开发的手性助剂的使用参见:
碳碳键构筑的王道反应:羟醛缩合反应(Aldol reaction)第三弹
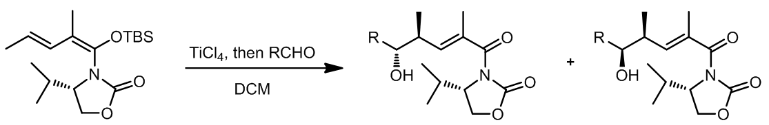
Crimmins发现了可以得到Evans-syn-aldol产物和非Evans-syn-aldol产物的反应条件,反应中需要用到钛作为配合试剂,这个方法的发明大大增加了钛烯醇在aldol反应中的使用范围。Ref. 3
(1)使用1 equiv.钛试剂
(2)使用2 equiv.钛试剂
这里是一个α-烷氧基羰基化合物的例子:ref. 4
还有一些用于不对称酰胺和酯aldol的手性助剂
1).ref. 5
2).ref. 6
其他一些例子:
1) ref. 7, 8
2) ref 9
3) ref 10
4) ref 11, 12
5) ref 13
6) ref 14
7) ref 15
- 烯醇硅醚的aldol反应(Mukaiyama aldol缩合)
关于Mukaiyama aldol缩合反应的基本内容,在这里有一些相关的介绍:
//m.gsbet888.com/%E5%8C%96%E5%AD%A6%E6%9D%82%E8%AE%B0/2015/10/post-6781.html,这里补充的是几类手性催化剂的开发和使用。
参考文献
- J. Am. Chem. Soc., 1997, 119(33), pp 7883–7884, DOI: 10.1021/ja9716721
- Org. Lett., 2002, 4(14), pp 2397–2400, DOI: 10.1021/ol026139r
- J. Am. Chem. Soc., 1997, 119(33), pp 7883–7884, DOI: 10.1021/ja9716721
- J. Am. Chem. Soc., 2000, 122(23), pp 5473–5476, DOI: 10.1021/ja0007197
- J. Org. Chem., 1989, 54(12), pp 2817–2825, DOI: 10.1021/jo00273a009
- Tetrahedron Lett., 1993, 1737, DOI:1016/S0040-4039(00)60765-7
- J. Am. Chem. Soc., 2001, 123(39), pp 9535–9544, DOI: 10.1021/ja011211m
- J. Am. Chem. Soc., 1994, 116(25), pp 11287–11314, DOI: 10.1021/ja00104a010
- Org. Lett., 2002, 4(14), pp 2397–2400, DOI: 10.1021/ol026139r
- J. Am. Chem. Soc., 1982, 104(20), pp 5526–5528, DOI: 10.1021/ja00384a062
- J. Am. Chem. Soc., 2001, 123(23), pp 5407–5413, DOI: 10.1021/ja010454b
- Tetrahedron Lett.,1996, 9179, DOI: 1016/S0040-4039(96)02156-9
- J. Org. Chem., 2001, 66(15), pp 5217–5231, DOI: 10.1021/jo0104429
- Org. Lett., 2001, 3(6), pp 901–904, DOI: 10.1021/ol015542f
- J. Am. Chem. Soc., 2001, 123(19), pp 4605–4606, DOI: 10.1021/ja003507i
- Tetrahedron Lett., 1991, 61,DOI: 1016/S0040-4039(00)71218-4
- Org. Lett., 2012, 14(20), pp 5298–5301, DOI: 10.1021/ol3024677
- J. Am. Chem. Soc., 1991, 113(3), pp 1041–1042, DOI: 10.1021/ja00003a047
本文版权属于 Chem-Station化学空间, 欢迎点击按钮分享,未经许可,谢绝转载!















































No comments yet.