本文作者 孙苏赟
炔烃的金属氢化反应可以得到金属化的烯烃中间体,这个中间体可以用于一些过渡金属催化的交叉欧联反应。可以和炔烃发生加成的金属氢或金属碳类化合物有很多,这些反应在合成过程中都非常有用。
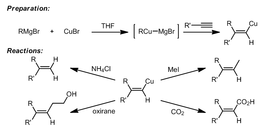
- 有机铜的反应
(i) 炔的铜碳化:Normant反应 (ref. 1)
乙烯基酮中间体在反应中可以作为亲核试剂,很多亲电试剂都可以和它很好的发生反应得到一系列产物。Gilmann试剂,例如Me2CuLi,也可以和炔烃发生反应,得到类似的乙烯铜类中间体。
一些Normant反应的例子:
(1) 铜中间体在I2的作用下转化成碘代烯烃 (ref. 2)
(2) 铜中间体在I2和甲基化试剂的作用下转化目标产物 (ref. 3)
(ii) 羰基炔类化合物的共轭加成
对于羰基炔类化合物,铜试剂可以在炔丙基的β-位发生类似Micheal加成,反应的结果是生成cis-加成产物,并且乙烯基铜的亲和性很弱,因此反应常以质子活化后合成三取代的烯烃。此外,虽然动力学上乙烯基铜中间体发生syn-加成,但是它的构形不是很稳定,最终产物可能是两种异构体的混合物。
反应机理:
例如: ref. 4
这个反应中,卤甲基醚具有足够的活性可以将中间体转化成为四取代的烯烃,并且保持双键的构形不发生改变。
- 锆试剂的方法
(i) Zr催化的碳铝化反应
这个方法在合成中十分有效,特别是合成三取代烯烃时。反应生成的中间体可以进一步参与其他的反应,例如可以容易的发生Zn和Cu的转金属化。
反应机理:
反应的最后一步中,反应催化剂重新生成了,这是通过分子内的转金属化过程实现的。
一个例子:ref. 5
类似的,I2可以将金属中间体转化为碘代烃。
(ii) 锆氢化反应
锆氢化反应可以发生直接的化学计量的cis加成,反应中的试剂的用量可以直接影响反应的结果。中间体乙烯基锆化合物虽然不如其他的乙烯基金属化合物在交叉偶联反应中的作用大,但是他们可以进一步发生氧化反应,也可以发生转金属反应生成其他具有更好活性的反应中间体。
a. 利用亲电的卤素进行活化
例如:
(1) 端位炔烃的例子ref. 6
(2) ref. 7
(3) 非端位炔烃的例子ref. 8
其中,TMS对于I2是呈惰性的,但是可以被NIS替换成碘原子。
(4) ref. 9
反应的产物100%是热力学产物,其中Schwartz试剂使用了2 equiv., 在THF中反应1小时。
b. 转金属化反应/烷基化
(1) Zr转金属到Zn ref. 10
(2) 通过Li将Zr转金属到Cu (ref. 11)
REFERENCES
- Tetrahedron Lett., 1971, 2583, DOI:1016/S0040-4039(00)84590-6
- J. Org. Chem.,1978,43(6), pp 1279–1281,DOI:10.1021/jo00400a068
- J. Am. Chem. Soc.,2001,123(43), pp 10772–10773,DOI:10.1021/ja016893s
- Synlett 1994(8): 660-662, DOI:1055/s-1994-22966
- Angew. Chem. Int. Ed., 1999, 38, 1652,DOI:10.1002/(SICI)1521-3773(19990601)38:11<1652::AID-ANIE1652>3.0.CO;2-K
- Org. Lett.,2000,2(14), pp 2023–2025,DOI:10.1021/ol0000713
- Org. Lett.,2001,3(22), pp 3487–3490,DOI:10.1021/ol016744e
- Org. Lett.,2002,4(14), pp 2397–2400,DOI:10.1021/ol026139r
- J. Am. Chem. Soc.,2002,124(38), pp 11368–11378,DOI:10.1021/ja0206700
- Org. Lett.,2001,3(9), pp 1383–1386,DOI:10.1021/ol015753k
- J. Am. Chem. Soc.,1990,112(20), pp 7440–7441,DOI:10.1021/ja00176a079
本文版权属于Chem-Station化学空间,欢迎点击按钮分享,未经许可,谢绝转载!



No comments yet.