本文来自Chem-Station日文版 化学者だって数学するっつーの! :シュレディンガー方程式と複素数 やぶ
翻译投稿 炸鸡 校对 HaoHu
这次的内容借助波函数的物理量——动量和能量,通过数学手段对粒子能量公式变形一步步推导得到薛定谔方程。此外,还会带你们复习复指数函数的性质,思考复数指数函数代表怎样的波。
化学人一定要学习数学吗?
相信我~学了数学会让你觉得化学更有趣。让我们开始愉快的玩耍吧。
我们都知道s轨道是球形的,p轨道是哑铃形的;原子中,轨道的能量越高,轨道的节点就越多。但你有没有想过过这是为什么呢?要想揭开谜底,就要学习量子化学了打破次元壁到数学的世界寻求答案了。希望读者们能从我的演算过程中体会到不一样的次元世界。
薛定谔方程是何方神圣呢?
薛定谔方程是描述微观粒子运动的基本方程。方程(见下)是关于粒子位置和时间的偏微分方程。薛定谔方程同时考虑到了电子的粒子性和波动性。
虽然薛定谔方程已经世人皆知,但大家遇到这个方程不免有下面两种疑惑。
- 这个方程是怎么得到的呢?
- 方程式中的复数i有什么物理意义吗?
在今天的内容里将带读者们回到薛定谔方程的起源来解答上述的两个疑问。一上来就是三维方程的推导可能会令很多人难以理解,所以我们先从不需要考虑粒子势能的一维薛定谔方程入手。
怎么推导薛定谔方程呢?
用动量和能量来取代正弦函数中的波长和频率,之后对正弦函数求偏导得到有关力学能量的方程。接下来让我们逐一推导。
Step 1: 波的物理量转化为粒子的物理量
首先我们来了解下什么是波粒二象性。根据光电现象的实验表明,光子的能量E和光波的频率v成正比,动量p和光波的波长λ成反比。
第一个等式的右边的频率v和波长λ这两个物理量都是波的特有物理量。这两个波特有的物理量对应于粒子特有的两个物理量——一个个光子的能量E和动量p。也可以这么理解,电子具有的波的性质的物理量v和λ可以用电子的能量E和动量p来表示。
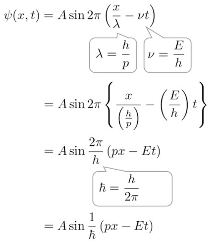
Step 2: 代入波函数的λ和ν
我们先来看看我们高中时代学过的正弦函数(见下方的函数)。是有关于频率v,波长λ和振幅A的一维正弦函数 ψ。
把我们之前所讲的波性质和粒子性质的关系式带入到正弦函数中。
经过3次化简得到2π/h这个共同的比例常数。为了方便阅读将2π/h替换为1/ħ。
Step 3: 转化为复数指数函数
将Step 2 中得到的正弦函数用复数形式表示出来。复数波可以用带有虚数指数的指数函数来表示。
估计有人会说“咦?怎么就变成这样了哇!”“到底发生了什么,为什么这样转换啊”,细节我稍后解释。现在我们只单纯讨论数学。
Step 4: 由复数指数函数求得粒子的动能
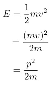
在这一步中,我们要将Step 3中的式子和和我们熟悉的粒子动能方程结合起来。
但是,Step 3中的波的式子中使用的不是速度v而是动量p。所以动能方程中要也要用p来替换v。因为p=mv,所以粒子的能量可以用下面的式子表示。
如果这个关系式E=p2/2m能从Step 2中的指数函数推导得到的话,电子的波动性和粒子性就会有了关联。这其实并不难了解,请听我慢慢道来。只需将指数函数求偏导即可。将指数函数微分,就能将指数函数指数部分的比例常数提出来。首先求函数在t处的偏导,把x当作常数。
下面是求得偏导后的结果。等式右边的E暂不作讨论。如果等式两边同时乘以iħ,因为i2 =–1那么等式右边的系数就只有E了。
这个等式告诉我们:“如果求正弦函数在时间t处的偏导数(同时乘以相同的系数),则函数的形式不变并且函数的系数为E。”竟然会是这样!我们通过微分就得到一个关于电子能量E的等式。
这次同样也是对波函数求在x处的偏导数,把除x以外的其他变量当作常数来求得关于动能p的关系式,所以等式两边要平方来让p以p2的形式出现。这里难度不大。
求偏导的结果如下。为了使右边消除负号,两边同时乘以相同的系数。
这个等式告诉我们“如果求正弦函数在另一个变量x上的偏导数(同时乘以相同的系数),波函数形式不变且波函数前面的系数为一个关于p2的常量”。
Step 5: 再现力学能量公式
现在到了最后一步。我们来把我们到现在为止推导得到的结果和E = p2/2m这个公式比较一下。那就是把正弦函数在时间t处的偏导数(乘以相同系数之后的)和正弦函数在x处的偏导数(平方后乘以相同系数之后的)联立。两式联立可以得到下面的与势能无关的一维薛定谔方程。
接下来就是见证奇迹的时刻!我们加入势能V,将一维方程式变成三维方程式就得到了我们熟悉的薛定谔方程。
那么,这个薛定谔方程到底有什么意义呢?
有人会疑问“从正弦函数中通过微分得到有关动量和能量的表达式,形成了经典的能量关系。这样得到的等式对三维空间里的粒子也适用吗?”(2)推导过程是纯数学没有涉及任何物理知识。但是实际上,解出这个方程式得到的波动函数就能够很好地说明我们的担心是多余的。
下面我们来解释下为什么在Step3中要使用复数来表示函数,从而更好的理解薛定谔方程的起源。
为什么要使用复数呢?
对三角函数求微分时需要带入sin和cos,这十分麻烦。比如对sin函数求在t处的偏导,偏导数就要乘以变量 t前面的系数且sin变cos(见下)。这样原函数就会变形。
那怎么用复数的指数函数表示正弦函数呢?
还记得高中学过的欧拉公式eiθ=cosθ+i sinθ吗?里面同时有sin和cos。
我们用二维平面坐标上的横轴和纵轴上的点来分别表示复数的实部和虚部。复数的一般表达式为z=a+ib,我们用常数A和角度θ来表示,即:z = A(cos θ+i sin θ) 。括号里的可以用复数指数函数表示,故式子可简化为eiθ=cosθ+i sinθ。总之这就是 一个波叠加公式。可以这么说:复数指数函数也表示一种波。
复数表示的波长什么样子呢?
复数波表现为有着固定振幅的行波。
Aeiθ=A(cosθ+i sinθ) 中的θ如果不断变大,那么eiθ代表的一个个点就会连成圆圈。所以你就能明白为什么行波会有固定的振幅吧。如果将点的实部和虚部分别投射到坐标轴上的点,你会发现实部和虚部点都是在定值间交替变化。正是因为这种交替变化才使得行波的振幅一定。
为了用一个以θ为轴的曲线来表示这个波,我特意把θ轴拉长到复平面。你会发现这个函数在θ轴上绕着相等的距离旋转。
请读者们注意到,复数指数函数指数的正负不同,螺旋的方向也会不同。如果eθ为正,则指数函数的值机会逆时针方向运动。反之如果eθ为值,则指数函数的值机会顺时针方向运动。 从这一点来看,复数的波具有方向性。这也暗示了复数指数函数能表示粒子的运动方向。
能不能用三角函数表示波的行进方向呢?
答案是不。请看sin x 和sin(–x) 这两种函数的图像。
乍一看可能会觉得这两种波行进方向好像是相反的呢,似乎三角函数也能表示波的方向呢。但是细想觉得不对,如果把sin x表示的波向左或向右平移π个单位,就会和sin (-x)的波相重合。也就是说这两个图只是初始相位不同而已,实际上它们是相同的两种波。
能不能用三角函数表示波的行进方向呢?(你还可以这么想。。。。)
我们还可以用欧拉公式来解释为什么sin函数表示的波不具有方向性。也就是说,sin函数表示的波是正方向的复数波和负方向的复数波的叠加的结果。
参考文献
- [1] シュレディンガー方程式の導出の手続きは、主に次の書籍を参考にしました (a) 砂川重信, 1 章 電子の粒子性と波動性「量子力学」岩波書店, 1991,pp1-20. (b) 砂川重信, 5 章 シュレディンガー方程式「量子力学の考え方 物理の考え方 4 」岩波書店, 1993, pp61–77.
- [2] この考え方は, このサイトから学びました: E-man の物理学, 量子力学, シュレディンガー方程式, http://eman-physics.net/quantum/schrodinger.html (2018 年 7 月 29 日アクセス).
- [3] 本記事のタイトルは, お笑い芸人の脳みそ夫さんからインスパイアされて考案しました.
本文版权属于 Chem-Station化学空间, 欢迎点击按钮分享,未经许可,谢绝转载!






No comments yet.