(常用名)松茸醇,IUPAC名:1-辛烯-3-醇(1-octen-3-ol)是松茸的香味中的主要成分。松茸中含有的松茸醇的对映异构体的比率大概是R:S= 9:1。而R体是松茸香味的主要来源,S体的味道就跟普通的草一样,有青臭味。
松茸醇的历史
1-辛烯-3-醇(松茸醇)最早是在1931年被加福、野副等人从桧木的叶子中分离提取,那时候由于仪器等硬件设备的匮乏,当时只得到了其简单的物理化学性质,结构并没有得到确定。
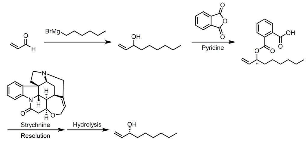
同年,Leven、Walti等人用1-辛烯-3-醇与苯酐进行反应,得到了邻苯二甲酸单酯,然后再与番木鳖碱成盐进行官学分割,得到具有光学活性的1-辛烯-3-醇。在这之后的1936年,村橋俊介、岩出亥之介分别报道了从松茸中提取获得松茸醇的结果6,9。并且在之后的结构鉴定中,也确证了两者分离出的化合物为1-辛烯-3-醇。
松茸醇的化学合成
由于松茸醇结构简单,松茸醇的合成法也有很多种。而最早的方法是由Leven、Walti等人报道的,下图中就给出了当时的合成路径
松茸醇的生合成方法
松茸醇的生合成路径到2010年为止主要分为三种生合成假说。而其中的共同点是:都主张松茸醇由亚麻酸生成。
Tressel等人的生合成假说
1981年Tressel等人提出亚麻酸在脂氧合酶(LOX)作用下氧化生成13-hydroxy-9Z-11E-octadecadienoic acid(13-HPOD),然后分解成1-辛烯-3-酮,在还原酶作用下最终生成松茸醇。
Grosch等人的生合成假说
1986年Grosch、Wurzenburger等人提出假说:亚麻酸在LOX氧化下先形成10-hydroxy-8E-12Z-octadienoic acid(10-HPOD)。然后在氢酶(HPL)作用下形成松茸醇。
Combet等人的生合成假说
2006年Combet等人提出亚麻酸是在血红素加氧酶与HPL作用下形成10-HPOD然后再形成松茸醇这一假说。同时,他们报道了从花生四烯酸为原料,在双功能的LOX(bifunctional LOX、或者PpLOX1)作用下经由花生四烯酸12-过氧化氢体得到松茸醇。
2013年城斗志夫、田﨑裕二等人为了弄清楚松茸醇的生物合成途径,利用从平菇中获得的LOX对亚麻酸进行氧化,报道了经由13-HPOD得到松茸醇的结果。但是,依然还没有得到对于LOX氧化亚麻酸,再经由HPOD与HPL作用得到松茸醇的决定性的直接证据。因此到目前为止,松茸醇的生合成路径的解析依然是一个很热的课题。
参考文献
- TCI 1-octen-3-ol 販売ページ
- Aldrich社 1-octen-3-ol 販売ページ
- http://www.wako-chem.co.jp/siyaku/journal/jiho/pdf/jiho743.pdf
- Y. Takashima,Japanese Journal of Sensory Evoluation,1997,1, 10. DOI:10.9763/jjsse.1.10
- 株式会社 岩出菌学研究所 HP
- S. Murahashi,Sci. Pap. Inst. Phys. Chem. Res.,1936,30, 263.
- S. Murahashi,Sci. Pap. Inst. Phys. Chem. Res.,1938,34, 155.
- 岩出亥之助, 日本林學會誌,1934,16, 757.
- 岩出亥之助, 日本林學會誌,1936,18, 528.
- 岩出亥之助, 日本林學會誌,1937,19, 414.
- Y. Tasaki, H. Miyakawa,Mycoscience,2015,56, 503. DOI:10.1016/j.myc.2015.03.001
- Y. Tasaki, S. Toyama, T. Kuribayashi, T. Joh,Biosci. Biotechnol. Bioichem.,2013,77, 38. DOI:10.1271/bbb.120484
- M. Wurzenberger, W. Grosch,Lipids,1986,21, 261. DOI:10.1007/BF02536408
- E. Combet, J. Henderson, DC. Eastwood, KS. Burton,Myvoscience,2006,47, 317. DOI:10.1007/S10267-006-0318-4
- 庶民の食材が「高嶺の花」に上り詰めた理由 マツタケ、人工栽培への道(前編)
本文版权属于Chem-Station化学空间, 欢迎点击按钮分享,未经许可,谢绝转载!



No comments yet.