在之前的五辑中介绍了各种官能团的还原反应,着重介绍了羧酸及其衍生物的还原,本次着重介绍还原胺化反应和立体选择的氢负离子参与的还原反应。
Scheme 1 | 还原胺化反应
还原胺化反应在合成多取代的胺时是一种非常有用的方法,用卤代烃进行的烷基化常常会出现多烷基化,但是还原胺化反应可避免这种情况的发生。通常,这个反应要么是一步进行的,要么是先生成烯胺离子之后发生一个两步的反应。
一步法中,需要羰基化合物和胺混合,这个胺可以是伯胺或仲胺,再加上还原剂,即可在原位发生胺化反应生成一种新的胺。当小体积的非芳香伯胺发生反应时,多取代的或是亲核性更强的仲胺会生成,并且生成的胺自身会比反应底物的羰基化合物发生更快的烷基化反应而最后得到叔胺:
Scheme 2 | 一锅法的还原胺化反应
如果想要避免多烷基化的发生,那么就需要在氢负离子参与反应之前对反应底物进行预处理。对于非芳香性的两组分反应底物,烯胺的生成是自发且不可逆的,那么在反应体系中将水除去就可以使得反应平衡向生成烯胺的方向移动:
Scheme 3 | 对于非芳香底物的改进
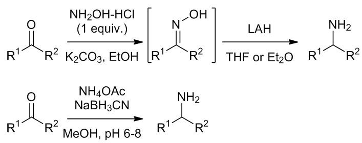
- 生成伯胺
Scheme 4 | 伯胺的生成
第一个反应式:这是一个非直接的得到胺的方法,它可以有效的防止生成肟之后的多烷基化。这一步生成的肟中间体非常稳定,它不会因为反应的可逆性而会发生分解,因此过过程中也不需要除去生成的水。
- 生成仲胺和叔胺
Scheme 5 | 仲胺和叔胺
反应中Ti(OiPr)4可以用来代替质子酸,此外很多其他的溶剂也可以在这个反应中使用1。
Examples
(1)一个固相反应的例子2
Scheme 6 | 还原胺化反应例1
这个反应是一个固相反应,如果过度烷基化则会使得高分子链发生交联;反应中醋酸是作为缓冲溶液使用的,并且有助于烯胺的形成和还原过程。
(2)胺转化成烯胺3
Scheme 7 |还原胺化反应例2
(3)See ref. 4
Scheme 8 |还原胺化反应例3
- 立体选择的还原胺化反应
可以用于烯胺衍生物的不对称还原的催化剂已经开发了很多种了,也包括肟和腙等化合物的还原方法学也有了不同程度的开发,相对于酮的不对称还原此领域的研究和成果就相对比较少了。
a.有机催化剂配合Bronsted酸6, 7
再这样的组合中,常用的有机氢化物有Hantsch酯氢化物(Hantsch ester hydride, HEH),而手性配体常使用手性磷酸,它们组合使用常会使反应的选择性很好。
Scheme 9| 用于不对称胺化反应的Bronsted酸和催化剂的组合
反应机理:
Scheme 10 | 循环催化
b.不对称硅氢化反应8
Scheme 11 | 不对称硅氢化反应
反应机理和酮的硅氢化反应很相似:
Scheme 12 | 不对称硅氢化的反应机理
c.钛试剂/NaBH45, 9
Scheme 13 | 化学计量的使用钛试剂
Ti(OEt)4一般会有以下几个作用:亚胺形成的活化剂,脱水剂和路易斯酸用于还原亚磺酰亚胺。这个方法适用于芳香族和脂肪族酮类,并与其他官能团相容。产率66-86%不等,d.r.90/10-97/3。用HCl处理后得到游离胺。
REFERENCES
- Org. Chem.,1990,55(8), pp 2552–2554, http://dx.doi.org/10.1021/jo00295a060
- Org. Chem.,1999,64(7), pp 2219–2231, http://dx.doi.org/10.1021/jo981567p
- Tetrahedron lett., 1995, 36, 2937, http://dx.doi.org/1016/0040-4039(95)00442-F
- Am. Chem. Soc.,1999,121(33), pp 7702–7703, http://dx.doi.org/10.1021/ja991714g
- Rev.,2010,110(6), pp 3600–3740,http://dx.doi.org/10.1021/cr900382t
- Lett.,2005,7(17), pp 3781–3783, http://dx.doi.org/10.1021/ol0515964
- Am. Chem. Soc.,2006,128(1), pp 84–86, http://dx.doi.org/10.1021/ja057222n
- Rev.,1999,99(5), pp 1069–1094,http://dx.doi.org/10.1021/cr980414z
- Tetrahedron lett. 2002 40 6709, http://dx.doi.org/1016/S0040-4039(99)01351-9
本文版权属于Chem-Station化学空间,欢迎点击按钮分享,未经许可,谢绝转载!




No comments yet.