本文作者孙苏赟
将醇氧化成醛酮的方法在有机合成几十年的发展历史中千变万化。对于一级醇来说,过度氧化则是一个需要注意的问题,一般的解决措施是将反应中的水完全除去形成无水的反应条件;若反应中有水,生成的醛很容易被继续氧化成羧酸,这是发生了氢转移的过程。因此,一级醇可以使用PDC,PCC,Collins试剂,Swern氧化,DMP等,但是Jones试剂不一定合适。
Jones试剂是一种非常强烈的氧化剂。Jones试剂不可用于对酸敏感的反应底物,但是它较为廉价易得,并且反应容易监测,因为反应中Cr(IV)会由橙色转化成绿色的Cr(IV)。反应有水参与,因此一级醇会被直接氧化成羧酸:
而Collins试剂的性质却相对温和,它可以溶解在很多有机溶剂中,但是它的缺点是反应中需要使用大量过量的试剂,并且对水及其敏感。
b.PCC (Pyridinium Chlorochromate)和PDC (Pyridinium dichromate)
市售的PCC是一种橘黄色的固体,它在很多有机溶剂中都可以溶剂,反应中需要在酸性条件下添加化学计量的PCC,容易操作,效果也很好,但是产率一般只在70%左右;而对于中性条件,KF/AcOK可以用于形成缓冲溶液。反应中需要严格绝水以防止过度氧化的发生,但是反应过后的处理很方便,直接过滤即可,无须用水活化产物。PDC的性质与PCC相似,也是市售的试剂。(Ref. 2, 3)
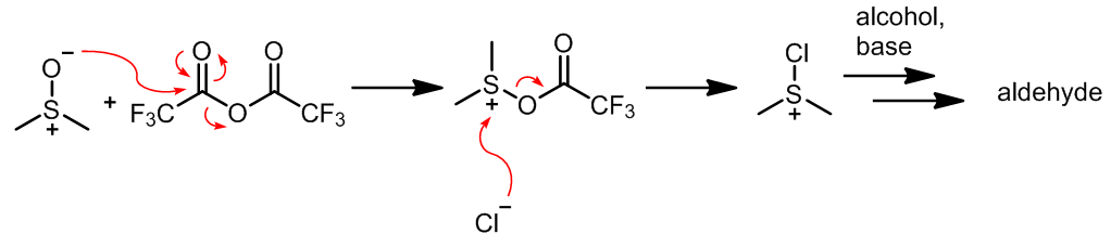
2. Swern氧化反应
Swern氧化是一种化学选择性很高并且产率非常好的反应,这个氧化过程除去使用草酰氯来活化DMSO,还可以用TFAA等活化试剂,碱使用中性的碱就可以,例如Hunig碱DIPEA,来防止手性碳的异构化。
反应机理:
上述的机理是在(COCl)2的作用下实现的,也可以替换成TFAA:
应用:
(1) 串联的脱保护-Swern氧化:ref. 4
在这个反应中,TFAA先将一级醇的保护基脱去,再进行Swern氧化。
(2) 外消旋的醇的Swern氧化:ref. 5
(3) 烯丙基醇的氧化:ref. 6
需要注意的一点是,使用TEA可能在某些例子中会造成异构化的发生,但是使用DIPEA就可以避免这个问题:
3. 其他“活化”的DMSO的方法:
a.Pfitzner-Moffatt氧化
反应机理:
Pfitzner-Moffatt氧化是对Swern氧化不小的改进,可以使得反应的产率上升不少,并且可以避免一些副反应的发生,但是一旦产生副产物,就会非常难出去,这是Pfitzner-Moffatt氧化反应存在的一个问题。
b. Corey-Kim氧化
反应机理:
Corey-Kim氧化在一定程度上避免了Swern氧化的一些缺点,但是由于Corey-Kim反应对于底物的选择性,使得这个方法不是非常常见;此外,NCS可以换成NBS和NIS进行反应。
c. Parikh-Doering氧化
反应机理:
一个例子:
REFERENCES
- Tetrahedron Lett., 1985, 26, 1699, DOI: 1016/S0040-4039(00)98314-X
- Tetrahedron Lett.,1975, 2647, DOI: 1016/S0040-4039(00)75204-X
- Tetrahedron Lett., 1979, 399, DOI: 1016/S0040-4039(01)93515-4
- J. Am. Chem. Soc., 1993, 115 (7), pp 2992–2993, DOI: 10.1021/ja00060a064
- J. Am. Chem. Soc., 1991, 113 (8), pp 3085–3095, DOI: 10.1021/ja00008a043
- J. Org. Chem., 1995, 60 (24), pp 7796–7814, DOI: 10.1021/jo00129a021
本文版权属于 Chem-Station化学空间, 欢迎点击按钮分享,未经许可,谢绝转载!





No comments yet.