本文作者 孙苏赟
- 醇和醛的氧化 第一部分醇的氧化(一):铬试剂和活化的DMSO法
- 醇和醛的氧化 第二部分 醇的氧化(二):过渡金属氧化剂,高价碘试剂和TEMPO
在前两次中降到了许多种氧化一级和二级醇的方法,这里补充几个比较特殊的例子:
a. 串联的氧化反应
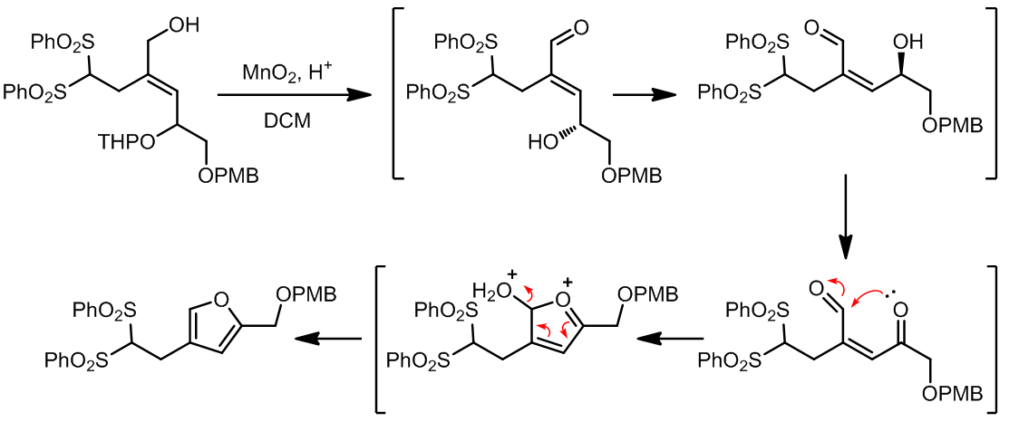
b. 区域选择性的氧化
从机理上看,在醇氧化成羧酸的过程中,体系中的水是必须的,为的是产生偕二醇中间体,再脱水即可生成羧酸。
其中,PDC在DMF中的氧化能力要远远好于在DCM中。一个例子:TL 1979 399
这是一种非常高效的试剂,虽然只需使用催化剂量,但是价格较贵,氧化剂RuCl3可以用RuO2代替。在反应上,大多数保护基可以抵御这种钌试剂的氧化反应,并且反应中水是至关重要的。一级醇可以直接被氧化成羧酸,而二级醇可以被氧化成酮,反应中可能会影响底物中的酯、二醇等结构。这里是一个例子:
以上是一级醇和二级醇的氧化反应,包括一种特殊的烯丙基三级醇的氧化,氧化中醛是常见的产物和中间体,那么这里顺带提一下醛到羧酸的几种转化方法:
银试剂在反应中需要使用化学计量,但是过程需要避光进行。这里是一个应用:ref. 7
高锰酸盐中,最常用的就是KMnO4了,但是反应需要再缓冲溶液中进行,以保护一些对酸性敏感的基团,此外另一种常用的高锰酸盐就是高锰酸的季铵盐了,他们在很多有机溶剂中都可以溶解。
上边这个例子中,对酸敏感的缩酮结构在这个转化过程中不会受到影响。
因为醛可以看做是氧化一级醇生成的中金提,因此这个方法适用于一级醇也同样适用于醛的氧化。在催化循环中,钌试剂是被高碘酸反复氧化又被醛还原的,例如:ref. 8
这种亚氯酸盐缓冲溶液可以非常温和高效的进行氧化反应,底物中的双键可以保留不被反应:ref. 9
REFERENCES
- J. Am. Chem. Soc.,2000,122(21), pp 5216–5217,DOI:10.1021/ja000817s
- Org. Lett.,2000,2(16), pp 2467–2470,DOI:10.1021/ol0061236
- J. Am. Chem. Soc.,2000,122(16), pp 3811–3820,DOI:10.1021/ja9939439
- J. Am. Chem. Soc.,2002,124(26), pp 7847–7852,DOI:10.1021/ja0265153
- J. Am. Chem. Soc.,2001,123(20), pp 4834–4836,DOI:10.1021/ja0105055
- J. Org. Chem.,1977,42(4), pp 682–685,DOI:10.1021/jo00424a023
- J. Am. Chem. Soc.,1982,104(20), pp 5551–5553,DOI:10.1021/ja00384a075
- J. Org. Chem.,1987,52(4), pp 622–635,DOI:10.1021/jo00380a025
- Org. Lett.,2004,6(5), pp 663–666,DOI:10.1021/ol036393z
本文版权属于Chem-Station化学空间, 欢迎点击按钮分享,未经许可,谢绝转载!



No comments yet.