本文作者:孙苏赟
第三部分 Sharpless不对称环氧化(Sharpless AE)
Sharpless, Knowles和Noyori因在手性催化和手性试剂的开发研究中的杰出贡献分享了2001年诺贝尔化学奖。其中Sharpless开发的不对称环氧化可以立体选择地对烯丙醇的结构进行环氧化:
反应中TBAP作为氧化试剂,反应的面选择性由使用的酒石酸酯配体决定,常用的配体有DET (diethyltartrat)和DIPT (diisopropyltartrat)。在分子筛的作用下,仅需催化量的钛催化剂参与反应。
反应的条件一般是:
- 5-10 mol% Ti(OiPr)4, 3-4 Å分子筛
- 比Ti(OiPr)4多10-20 mol%的手性配体(DET价格不贵,DIPT有的时候可以得到更高的立体选择性)。
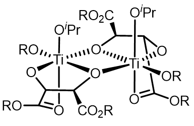
反应中实际参与反应的催化剂的结构是:
这里是反应的详细过程:
双金属配合物和烯丙醇和TBAP进行配体交换,得到过氧叔丁基钛配合物,且烯丙醇和中心金属台发生配位作用。接下来发生氧原子和双键的环氧化氧转移过程,再由两个异丙醇替换TBAP的还原产物和环氧化的烯丙醇,最后得到环氧化的产物。事实上Ti(IV)醇盐可以快速进行配体交换的能力使得可以发生催化环氧化反应。而且反应中一般当量的钛配合物只是作为反应中催化剂的框架,未真正参与反应。
在反应中间体存在形式的问题上,曾经也有一些争议,E. J. Corey 曾提出了单钛金属中间体的观点[1]:
但是后来Sharpless通过实验验证了催化剂结构和反应的中间体均为一个双金属物种[2]:
其中,关于氧化过程的过渡态,位阻因为导致了反应的面选择性:
这里是几个例子:
(1) Sharpless AD会和电子密度等大的双键优先反应[3]:
(2) 多次使用Sharpless AD构筑复杂分子结构[4]:
(3) 动力学拆分:
(4) 用于糖的合成:
(5) 手性底物,会有已有手性中心和面选择性的匹配与否的问题:
(6) C2对称的底物[5, 6]:
(7) 最后一个是用锆试剂催化的例子[7]:
作者在此前多次使用了钛试剂,但是效果均没有锆试剂好。
References
- [1] J. Org. Chem. 1990, 55, 1693-1694. Doi: 10.1021/jo00293a001
- [2] J. Am. Chem. Soc. 1991, 113, 113-126. Doi: 10.1021/ja00001a019
- [3] Pure & Appl. Chem., 1983, 55, 589 Doi: 10.1351/pac198855040589
- [4] J. Am. Chem. Soc. 1988, 110, 2506-2526. Doi: 10.1021/ja00216a026
- [5] J. Am. Chem. Soc. 1987, 109, 1525-1529. Doi: 10.1021/ja00239a036
- [6] J. Am. Chem. Soc. 1987, 109, 4718-4720. Doi: 10.1021/ja00249a044
- [7] Angew. Chem. Int. Ed., 2001, 40, 769. Doi: 10.1002/1521-3773(20010216)40:4<769::AID-ANIE7690>3.0.CO;2-5
本文版权属于 Chem-Station化学空间, 欢迎点击按钮分享,未经许可,谢绝转载!







































No comments yet.